查看: 6021

[引流涨粉] 发外链还管用么?2020年还能用的外链策略

[复制链接]
wz*** 发表于 2020-6-3 12:49 | 显示全部楼层 |阅读模式
今天来聊聊为什么外链作用越来越小,未来外链还有大作用,有什么好的外链建设策略。

1 外链已经是上个互联网时代的遗物了
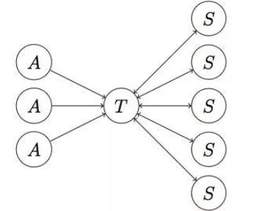
谷歌和百度都是基于用链接来"投票"的想法,推出了自己的Google PageRank专利、百度的“超链分析”技术专利。通过一系列的算法,为每一个页面评出一个打分,再为每个页面的每个链接进行打分。

1.jpg


算法用到了很多公式,大家看不懂没关系,现在也用不到了。用通俗的话解释,两个专利的算法都类似论文的引用数量,哪个论文被其他论文引用的次数多,就认定哪个论文质量更好。比如,某教授T 发布了一篇论文,这篇论文被很多学生A、S的论文引用,就说明T的论文质量更好。

2.jpg


但时代不同了。

3.jpg


通过链接判断页面质量已经过时了,我不是说SEO发外链太差破坏了环境;而是说,以前那个通过页面(URL)到 页面(URL)的时代已经过去了。以前,网络是通过一个个URL连接到一起的。

4.jpg


但,随着移动时代、智能时代,网络开始逐渐通过人来连接。

5.jpg


报告中的解释比较官方,我来幼儿园化解释下:我之前的文章《SEO已死?SEO有前途吗?》中提到过用户搜索需求的变化,其中09年和19年最大的需求变化-音乐,我就按音乐举例。以前,你想听周杰伦的歌,你需要找个电脑,找一个音乐网站,或者百度mp3搜索,你最终会得到周杰伦的歌曲现在,网易云、豆瓣音乐可以分析出你喜欢的音乐类型,可以在你不经意间推送你首周杰伦的“床边故事”,打开心动模式,它可以推荐你喜欢但你根本就不知道的歌。

6.jpg


以前,你有啥需求,你去网上找,有时候还找不到。一切围绕着“内容”。现在,互联网围绕着你,她知道你的喜好,一切都开始围绕“人”。

2 外链未来还有用么?
我认为还是有用的,而且搜索引擎活多久,能能有用多久。因为搜索引擎做的事情毕竟是链接,脱离链接,搜索引擎就失去意义了。

根据之前文章《SEO已死?SEO有前途吗?》中的数据,可以知道搜索引擎还可以活很久,而且目前外链已经被限制的很低了,未来再降低的空间不大。建立一套自己的外链策略,还是非常有用的。

3 会长期有效的几个外链策略
友情链接策略【小站版】

大部分人交换友链时最关注的的数据就是百度权重,但百度权重这个东西在初期是很容易控制的;如果可以做一批有搜索量,但相关页面数量的关键词进入首页,可以快速提升百度权重。

7.jpg


利用这个权重差,去交换比自己好的网站,长期保持有20~30个的友情链接。自己网站数据有进一步提升后,就逐渐更换掉比自己差的。不过要注意链接更换太频繁容易被搜索引擎惩罚。友情链接策略【大站版】二级域名、二级目录均开设友情链接栏目,利用大站的优势,交换其他站点的首页或者二级页面的友链。量大管饱,很多大站都在用。

发外链还管用么?2020年还能用的外链策略 外链 SEO推广 第8张


新站策略【老域名策略】

外链是依托于域名的,如果可以买到好域名,可以节省下建站初期做外链的工作。我近期一直在研究如何买到质优价美的老域名,之后有成绩会分享出来。

4 新时代的“外链”-人/品牌
人和品牌同样是这个网络中的链接纽带,这是这个链接是搜索引擎“爬”不到的。如何利用搜索引擎组好品牌的推广也已经是一门很成熟的生意了。做完SEO的工作后,也可以尝试学习更多的营销手段,如:品牌推广、自媒体营销、社群营销等,不断寻找新的引流方法,提升自己的能力,为挣钱和提升自己的职级做好准备。

作者/公众号: 陈小龙SEO
8.jpg
温馨提示:
1、本内容内由作者投稿,版权归原作者所有!
2、本站仅提供信息存储空间服务,不拥有所有权,不承担相关法律责任。
3、本内容若侵犯到你的版权利益,请联系我们,会尽快给予删除处理!
dingkai*** 发表于 2020-8-7 15:58 | 显示全部楼层
此帖仅作者可见
客服QQ/微信
723915236 周一至周日:09:00 - 22:00
十五年老品牌,学习网上创业赚钱,首先中创网,值得信赖!
众创网络 版权所有!

本站内容均转载于互联网,并不代表中创网立场!
拒绝任何人以任何形式在本站发表与中华人民共和国法律相抵触的言论!

信息产业部备案号 粤ICP备2022107892号

小黑屋|加入vip|手机版| 科妙网

GMT+8, 2026-3-20 16:22 , Processed in 0.069887 second(s), 31 queries , Gzip On.

快速回复 返回顶部 返回列表